To calculate the total electrical resistance in a combination circuit, one must know the formulas for calculating the total electrical resistance, individually for:
- Series circuit
- Parallel current circuit
By applying the formulas for calculating total electrical resistance in a series and parallel current circuit, a new formula for a combination current circuit is formed, which is valid only for the current circuit whose total resistance is determined. Therefore combination circuits are more complicated to determine the equivalent resistance. The examples you can see below (in text and video format) will help you understand how new formulas are formed (based on those for series and parallel circuits).
Calculation of electrical resistance in a combination circuit
A circuit that contains both a series and a parallel connection between consumers (resistors) is called a combination circuit. Because of the combination of series and parallel connection, the individual formulas for both connection methods must be used when calculating the total resistance.
It is best to first figure out how many different members are connected in a series. We represent the total resistor in a combination circuit as the sum of the individual parts connected in series.
Of course, one must be very careful, because one member that is connected in series with the others can itself be a parallel connection of two, three, or more members. In this case, the resistance for that member is first calculated (using the formula for total resistance in parallel current circuits), and only then, with that value, is the calculation of the total resistance in the combination current circuit approached.
The most complicated to solve are circuits that have a member that contains both a series and a parallel connection.
See the solved example below. This example contains the simplest combination circuit with three consumers (resistors).
An example of calculating total resistance in a combination circuit
Example 1: Calculate the total (equivalent) electrical resistance in the combination circuit given in the figure below:

The image above contains three consumers connected. It is clear from the picture that the current circuit contains two different parts that are in connection between in series! That’s all:
- The first consumer with electrical resistance R one.
- The parallel connection between the second and third consumers with electrical resistance R two and R three respectively.
In this situation, because there are only two elements in a series, for the total resistance in the combination circuit we create the formula:

Logically, we will first determine the total electrical resistance in the parallel connection R (one-two), then with that value, we will go back to the original formula to determine the total electrical resistance for the entire combination circuit!
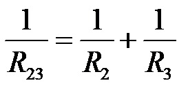
For a parallel connection, we use the formula with reciprocal values, adjusted to the number of consumers in the particular parallel branch. It is:

By substituting the values for the second and third consumer, the expression is:

After substituting the LCD (the lowest common denominator) for the numbers 3 and 6 and expanding the fractions to the denominator 6, we get:

From where, by adding the fractions with the same denominators, we arrive at the last step:

Finally, with appropriate rotation (to the left and right of the equal sign), we get:

The total resistance of the parallel connection between the second and third consumers is 2 ohms.
Finally, it remains to replace the previously obtained value in the initial formula, which gives us:

The total electrical resistance for the entire combination circuit is 4 ohms!
Video examples
The video material below contains three different combination circuits that are here by combining the location of each resistor individually. In it you will see the following combinations:
- The first consumer is in series connection with the parallel connection of the second and third.
- The second consumer is in a series connection with the parallel connection of the first and second.
- The third consumer is in series connection with the parallel connection of the first and second.
So each different combination current circuit is a new condition that needs to be well analyzed! Analyze well, to understand the way of connection between the different parts! Only then you can create a new formula that will only apply to that combination current circuit!
Also, follow the information and materials that will be deliver in the future. Complete connection with the www.matematikazavsicki.com/en profiles on Facebook, and Youtube using the buttons below.
Tags: Circuit, Combination, Examples, Formula, Resistance, Total


Please wait...