A rhombus is a type of quadrilateral that has:
- Four equal sides
- Two by two parallel opposite sides
- Two by two equal opposite angles

This shape is often associated with a square due to the equality of all four sides in both the first and second geometric figures. The difference is that this 2D shape does not have right angles like a square.
Perimeter
The perimeter of a rhombus is calculated in the same way as when calculating the circumference of a square.
The formula for calculating the perimeter is:

The same formula represented as a product of two numbers is:

Example number one: Calculate the perimeter of a rhombus that has a side of length 7 centimeters (the length of any side is 7 centimeters because the rhombus has four equal sides).
a) It is enough to add the value of the side length of 7cm to itself 4 times: L=7cm+7cm+7cm+7cm
b) It is enough to multiply the value of the side length of 7cm by 4.
The perimeter from example number one is 28 centimeters!
Area of a rhombus
First method: The area of a rhombus is available using the formula:

In the formula, h indicates the height of the rhombus. If the values for the lengths of the side of the rhombus and its height are available, to calculate its area it is enough to multiply these two values together.
Example number two: Calculate the area of a rhombus with a side of 5cm, if the length of its height is 4cm.
In the calculation, it is enough to multiply 5cm by 4cm. The area of the rhombus in the second example is 20 square centimeters.
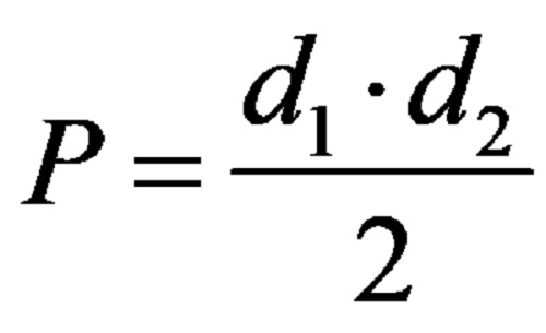
Second method: The area is available in a second way using the formula:

The second formula for calculating the area is in use if, in a certain situation, we know the two diagonals.
Example number three: Determine the area of a rhombus whose lengths of diagonals are 5cm and 7cm.
To determine the correct result, it is enough to determine the product of the two diagonals, i.e. 5cm and 7cm, and finally divide by the number 2.
The area from the third example is 17.5 square centimeters!
Follow the information and materials that will be published in the future. Complete connection with the www.matematikazavsicki.com/en profiles on Facebook, and Youtube using the buttons below.

Please wait...