This page will help you learn how to convert mixed number to an improper fraction (a fraction where the numerator is greater than the denominator). There is a formula on the page below to complete this type of conversion. In addition to the formula, there are examples of converting a mixed number into an improper fraction that is solved on the page itself, but below there are a larger number of examples with a solution in video format available.
Formula for converting a mixed number to an improper fraction
To successfully convert from a mixed number to a fraction, the formula is:

It follows from the formula itself that the fraction we are converting into should have:
- A numerator is equal to the product of the whole part and the denominator of the fractional part of a mixed number + its numerator.
- The denominator remains the same.
See the solved examples below to understand how the conversion formula is in use in the concrete example!
Examples
Example 1: Perform a conversion from a mixed number (given below) to an improper fraction:

We get the numerator of the improper fraction as the whole part multiplied by the denominator plus the numerator of the mixed number.
2 x 4 + 5 = 8 + 5 = 13
The denominator of the mixed number (the number 5) remains the same even in the improper fraction to which we have to convert.
The whole expression that we convert with should look like this:

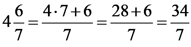
Example 2: Convert a mixed number to an improper fraction:

We follow the instructions from the conversion formula as in the first example!
The numerator of the improper fraction to which we need to convert is obtained by the calculation:
4 x 7 + 6 = 28 + 6 = 34
The denominator (the number 7) remains the same even in the improper fraction!
The complete solution of the second example should look like this:

The video below contains more examples of converting a mixed number to an improper fraction!
Did you learn how to convert a mixed number to a fraction?
Follow the information and materials that will be published in the future. Complete connection with the www.matematikazavsicki.com/en profiles on Facebook, and Youtube using the buttons below.
Tags: Fractions, How to convert, Improper, Mixed, Number


Please wait...